중2 식의 계산 파트에서는 거듭제곱꼴로 바뀐 식을 간단하게 계산하는 방법을 학습합니다. 즉, 지수법칙 네 가지를 학습하는데요. 공식으로 생각하고 암기하기보다는 원리를 이해하는 것이 중요합니다. 이 글에서는 지수법칙에서 지수의 합, 곱, 차, 분배에 관한 내용을 정리하고 지수법칙 문제로 이해를 돕겠습니다.
우선 용어와 기본적으로 알고 있어야 하는 내용을 정리하겠습니다.
용어 정리 및 알고 있어야 하는 내용
- xⁿ 에서 x를 밑이라 하고 n을 지수라고 합니다.
- 또한 a는 a¹로 지수가 1입니다.
- 지수법칙은 밑이 같은 경우에만 적용합니다.
지수법칙 1-지수의 합
밑이 같은 수의 곱셈은 지수끼리 더합니다.

간단한 문제로 예를 들어보면 a×a³=a⁴입니다.
지수법칙 2-지수의 곱
거듭제곱의 거듭제곱은 지수끼리 곱합니다.

예를 들어보면 (a³) ²=a^6입니다.
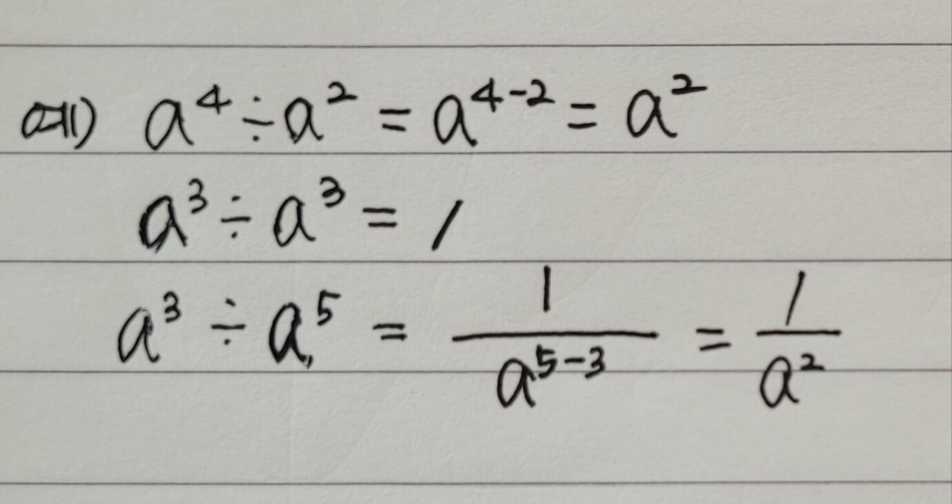
지수법칙 3-지수의 차
밑이 같은 수의 나눗셈은 지수끼리 뺍니다.
또한 밑과 지수 모두가 같은 나눗셈은 1입니다.

지수법칙 문제로 예를 들어볼까요?

지수법칙 4- 지수의 분배
괄호 안의 거듭제곱은 괄호 안의 수에 분배하여 계산합니다.

지수법칙 문제로 예를 들어 보겠습니다.

분배를 할 경우에는 괄호 안의 부호, 숫자, 문자 등 모든 것에 빠짐없이 분배하는 것이 중요합니다.
이때 음수의 거듭제곱이 있을 경우에는 부호를 먼저 결정한 이후 분배하는 것이 실수를 줄이는 방법입니다.
*함께 보면 좋은 글*
'수학 > 중2 수학' 카테고리의 다른 글
| 2025년 중2 수학 목차 정리 : 무엇을 배울까? (0) | 2025.03.14 |
|---|---|
| 단항식과 다항식의 계산-항, 계수, 차수, 동류항 등 용어 총정리 (0) | 2023.03.20 |
| 유리수와 순환소수/ 유한소수와 순환소수 판별법은? (0) | 2023.03.16 |
| 직각 삼각형 합동 조건(RHS합동, RHA합동) (0) | 2022.10.13 |
| 평행사변형과 마름모 넓이 공식 제대로 알기! (0) | 2021.08.11 |