수학은 원리를 이해하고 이해해야 합니다.
그래서 공식을 유도하는 과정을 알고, 공식을 외우는 것이 좋습니다.
이 글에서는 근의 공식 유도하는 과정과 짝수 근의 공식 정리해보았습니다.

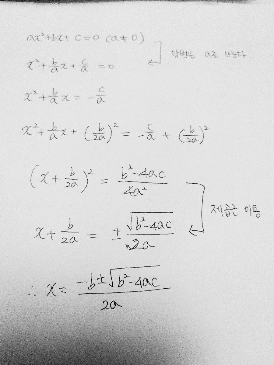
근의 공식 유도하는 과정
근의 공식 유도하는 아이디어는 이차방정식을 완전 제곱 꼴로 바꾸고 제곱근 성질을 사용하여 바꾸는 것입니다.
x^2의 계수가 a일 때 x^2의 계수를 1로 바꾼 후에 완전 제곱으로 바꾸게 됩니다.
근의 공식 유도하는 과정은 다음과 같습니다.

짝수 근의 공식 정리
짝수 근의 공식이라는 것은 이차방정식 x의 계수가 짝수(2의 배수) 일 때 x의 계수를 2로 나눈 값을 사용하는 것입니다.
예를 들어 x의 계수 b가 6이면 6을 2로 나눈 3이 b`가 되어 공식에 대입합니다.

지금까지 근의 공식 유도하는 과정과 짝수 근의 공식에 대하여 정리해 보았습니다.
'수학 > 중3 수학' 카테고리의 다른 글
| 무리수와 실수 뜻/성질 정리해볼까요?(+무리수 소수 부분) (0) | 2023.01.02 |
|---|---|
| 제곱근 뜻과 성질, 루트 표현 알아볼까요? (0) | 2022.12.29 |
| 이차방정식 판별식 D와 그 뜻은? (+짝수 판별식) (0) | 2022.11.24 |
| 사인 코사인 탄젠트 표 중요하죠! 삼각비 표 정리해요. (0) | 2021.07.17 |
| 중3 수학 목차 정리해드릴게요 (0) | 2021.07.12 |