중3에서 나온 곱셈공식이 고등학교에 들어가면 더 다양해집니다. 이 글에서는 세제곱 곱셈공식과 변형에 대하여 정리해 보았습니다. 공식인 만큼 그 식이 왜 그렇게 정리되는지를 이해했다면 반드시 암기하고 있어야 합니다.
기본 개념
고1에 처음 올라가면 배우는 내용이 '다항식의 연산'입니다. 여기에서 중요한 개념이 나머지 정리와 인수분해인데요.
'인수분해'와 '곱셈공식'은 서로가 서로의 역과정입니다.
인수분해란 곱의 형태로 바꾸는 것이며, 이 곱의 형태를 덧셈과 뺄셈의 전개된 형태로 바꾸는 것이 '곱셈공식'입니다.
따라서 세제곱 곱셈공식을 잘 익혀놔야 뒤에 나오는 인수분해를 자유롭게 할 수 있습니다.
세제곱 곱셈공식

고1 수학에서 나오는 세제곱 곱셈 공식입니다.
아래 사진 ①~④ 은 중학교 때 배운 내용이고 ⑤~⑩ 까지는 고1 수학에서 나오는 세제곱 곱셈공식입니다.
모두 잘 외워서 적용하시길 바랍니다.
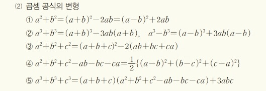
세제곱 곱셈공식 변형

① 은 중학교에서 배웠던 내용이고, ②~⑤이 고등과정에서 나오는 변형입니다.
제곱끼리의 합, 세제곱끼리의 합, 세제곱끼리의 차를 알 수 있도록 변형된 식입니다.
고1 수학 목차가 궁금하다면 아래 포스팅도 참고해주세요.
고1 수학 목차(상, 하) 학기 별로 정리했어요
중학교를 졸업하고 처음 고등학교에 올라가면 내용도 방대해지고 갑자기 수학이 확 어려워진다는 느낌을 받는데요. 필수 과목이라서 고등학교 1학년 학생이라면 누구나 배워야 하는 고1 수학.
tyrannohaha.com
'수학 > 고등 수학' 카테고리의 다른 글
| 2023년 6월 모의고사 범위(고1/고2/고3) 확인! (0) | 2023.05.25 |
|---|---|
| 2023 수능 수학 문제 및 답지 파일과 난이도는? (0) | 2022.11.17 |
| 고등 수학 확률과 통계, 미적분 목차 정리 (0) | 2022.11.15 |
| 고2 수학에서 배우는 수1,수2 목차 정리 (0) | 2022.11.10 |
| 고1 수학 목차(상, 하) 학기 별로 정리했어요 (0) | 2022.10.10 |